Alpha-Lipoic Acid: Uses, Claims, Safety, and Label Guide
Alpha-Lipoic Acid is also commonly listed as ALA, alpha lipoic acid, thioctic acid, R-lipoic acid, or R-ALA on supplement labels.
Alpha-Lipoic Acid, often shortened to ALA, is a sulfur-containing compound involved in mitochondrial energy metabolism and redox biology. In supplements, it is commonly used for antioxidant support, glucose-metabolism claims, and nerve-health formulas. ALA has the strongest evidence base in nerve-health and glucose-related research contexts, but supplement labels should not turn that into treatment claims for diabetes, neuropathy, detox, or fat loss. For supplement users, the key label questions are the form, dose, claim type, glucose-related safety context, and whether the product is making medical-style promises.
What is Alpha-Lipoic Acid?
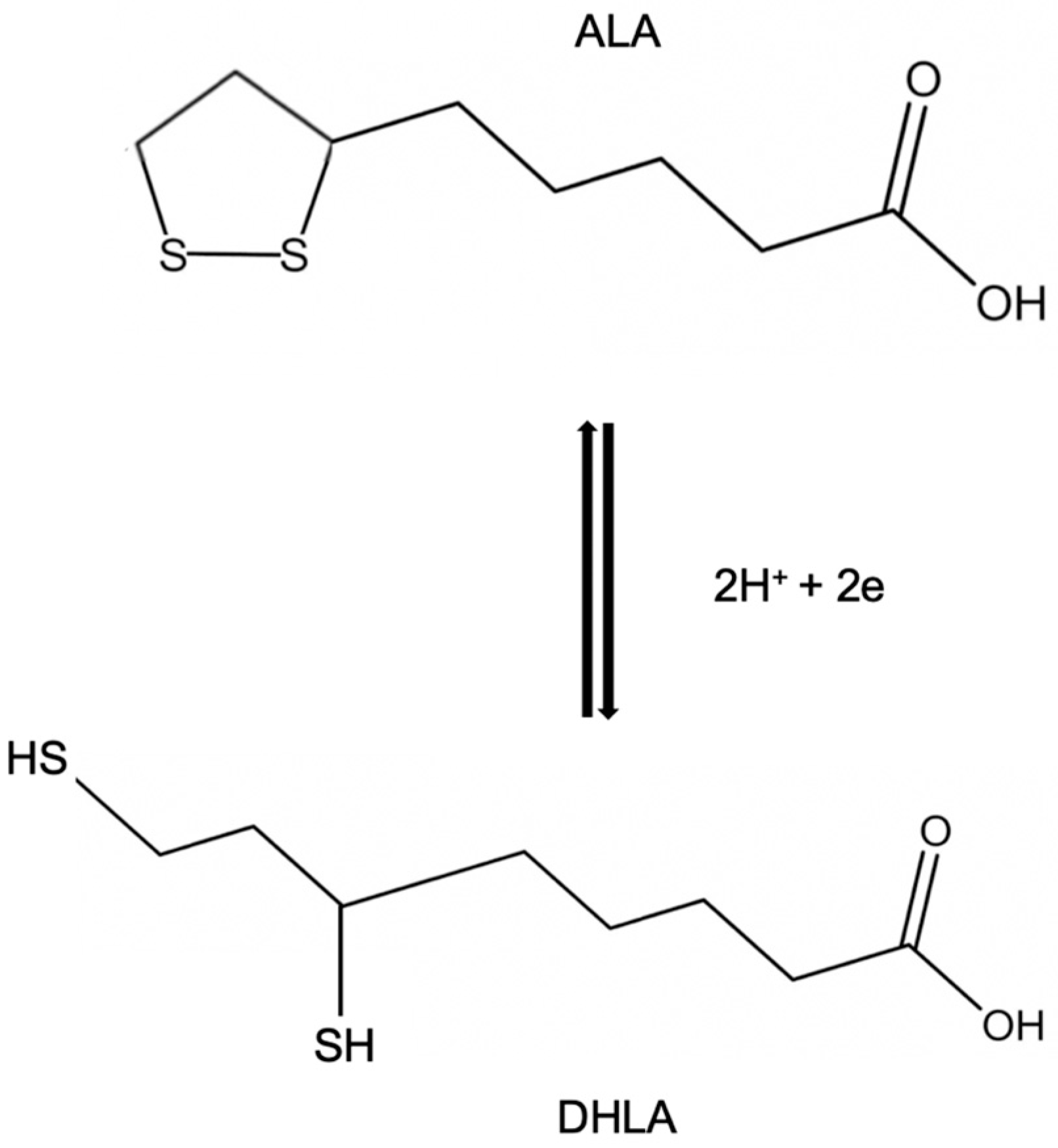
Alpha-Lipoic Acid is an organosulfur compound naturally present in the body. It acts as a cofactor for mitochondrial enzyme complexes involved in energy metabolism and can cycle between oxidized and reduced forms. This redox activity is why ALA is often discussed in antioxidant and metabolic-support supplements.
The important distinction is that biological plausibility is not the same as a proven consumer benefit. ALA has specific clinical research behind it, especially in diabetic neuropathy, but that evidence should not be stretched into claims that it “burns fat”, “detoxes heavy metals”, or works as a general anti-aging antioxidant for everyone.
R-ALA vs standard ALA
Standard Alpha-Lipoic Acid supplements are often sold as a racemic mixture, meaning they contain both R- and S-enantiomers. The R-form is the naturally occurring enantiomer, and it is often marketed as the more biologically relevant form.
That does not automatically mean every R-ALA product is better in real-world use. R-ALA can be less stable unless formulated properly, and product quality, stabilization, dose, and label transparency all matter. A clear label should state whether the product uses standard ALA, R-ALA, sodium R-lipoate, or another stabilized R-form.
Why ALA appears in supplements
ALA commonly appears in glucose-support products, antioxidant formulas, nerve-health supplements, mitochondrial-support blends, and sometimes weight-management or “detox” products. The strongest label positioning is usually around metabolic and nerve-health support, not vague wellness promises.
A responsible supplement label should explain what ALA is included for, disclose the dose, and avoid implying that ALA treats diabetes, neuropathy, heavy-metal toxicity, or weight problems. Those are medical areas, not playgrounds for bottle-front poetry.
ALA and diabetic neuropathy-related claims
Alpha-Lipoic Acid has been studied more extensively for diabetic peripheral neuropathy than for many other supplement uses. Some trials and meta-analyses suggest ALA may improve neuropathy-related symptoms in diabetic sensorimotor polyneuropathy, especially in clinical research settings.
That does not mean an over-the-counter supplement should claim to treat neuropathy or nerve pain. Evidence varies by study route, dose, duration, and quality. A responsible label may discuss nerve-health support, but it should not imply that ALA replaces diabetes care, neuropathy treatment, blood sugar management, or clinician-guided evaluation.
ALA and glucose-metabolism claims
ALA has been studied for insulin sensitivity, glucose metabolism, oxidative stress, and related metabolic markers. This is why it appears in blood-sugar support formulas and sometimes alongside ingredients such as berberine or chromium.
These claims need careful wording. ALA should not be marketed as a diabetes treatment or a way to replace medication. People using glucose-lowering medication should be especially cautious because ALA may affect glucose-related markers in some contexts. A label that says “supports glucose metabolism” is very different from one that implies disease control.
ALA and antioxidant claims
ALA is often called an antioxidant because of its redox activity and its relationship with cellular antioxidant systems. It is also sometimes discussed alongside glutathione, NAC, vitamin C, and other antioxidant-related ingredients.
The problem is that “antioxidant” can become a vague marketing umbrella. ALA is biologically interesting, but supplement labels should not use antioxidant language to imply broad detoxification, disease prevention, or anti-aging benefits without relevant human evidence.
ALA and heavy-metal detox claims
ALA is frequently discussed online in heavy-metal and chelation communities. That does not make it appropriate for casual consumer-facing detox claims.
Heavy-metal exposure and chelation are medical topics that require professional evaluation. NutriDetector treats claims such as “mercury detox”, “brain detox”, or “mobilizes heavy metals safely” as red flags unless they are framed with appropriate clinical context and evidence. A supplement label should not encourage people to self-manage suspected heavy-metal toxicity.
How ALA appears on supplement labels
ALA may appear as Alpha-Lipoic Acid, thioctic acid, R-lipoic acid, R-ALA, sodium R-lipoate, stabilized R-lipoic acid, or as part of a glucose, antioxidant, nerve-health, mitochondrial, or detox blend.
A clear label should show the exact form and amount per serving. If ALA is hidden inside a proprietary blend, the label may not show whether the dose is meaningful. This is the same pattern behind many pixie-dusted formulas, where an ingredient appears on the label but may be included at a token amount.
Dosage ranges used in supplements and studies
Many ALA supplements provide 300 mg to 600 mg per serving. Oral diabetic neuropathy studies often discuss 600 mg per day, while some clinical research has used different oral or intravenous protocols depending on the study design.
For label evaluation, the key question is whether the dose matches the claim. A general antioxidant product, a glucose-support product, and a nerve-health product are not making the same kind of claim. Stronger claims require stronger evidence and clearer dosing.
What users may notice
ALA is not usually a “feel it instantly” supplement. Some users notice no obvious subjective effect, while others report stomach sensitivity, heartburn, nausea, warmth, shakiness, or feeling slightly off if the dose does not suit them.
Because ALA is often used in metabolic formulas, subjective effects can be misleading. Feeling different after taking a supplement does not prove better glucose control, better nerve function, or better antioxidant status. Biology remains annoyingly resistant to vibes-based analytics.
Side effects and safety considerations
ALA may cause digestive side effects such as nausea, stomach discomfort, heartburn, vomiting, or diarrhea. Some people also report headache, rash, dizziness, or shakiness.
People taking medication or managing medical conditions should be cautious with ALA, especially when a product targets blood sugar, nerve-health, or detox-related claims. This is particularly relevant for people using glucose-lowering medication or those with hypoglycemia risk. People who are pregnant, breastfeeding, undergoing cancer treatment, or managing a medical condition should seek professional guidance.
How NutriDetector evaluates ALA labels
NutriDetector evaluates ALA supplements by looking at form disclosure, dose transparency, claim quality, formula context, and whether the product avoids medical-style glucose, neuropathy, weight-loss, or detox claims.
We prefer labels that clearly state whether the product uses standard ALA, R-ALA, or a stabilized R-form. We treat claims such as “insulin mimicker”, “forces glucose into muscle”, “burns fat”, “repairs nerves”, or “heavy metal detox” with caution unless they are tied to relevant human evidence and appropriate safety context.
FAQ: Alpha-Lipoic Acid Supplements
Why does ALA appear in glucose and nerve-health supplements?
ALA appears in these formulas because clinical research has looked at diabetic neuropathy and glucose-related markers. That gives the ingredient a real evidence base, but it also means labels need to avoid crossing into treatment claims.
What is the difference between R-ALA and standard ALA?
Standard ALA is often a racemic mixture of R- and S-forms. R-ALA is the naturally occurring enantiomer, but product stability, form, dose, and quality still matter.
Can Alpha-Lipoic Acid affect blood sugar?
Possibly. ALA has been studied for insulin sensitivity and glucose-related markers. People using diabetes medication or monitoring blood sugar should use caution and discuss supplementation with a qualified professional.
Is Alpha-Lipoic Acid good for weight loss?
It should not be treated as a primary weight-loss supplement. Some metabolic outcomes have been studied, but dramatic fat-loss claims are much stronger than the evidence.
Does Alpha-Lipoic Acid detox heavy metals?
ALA is discussed online in chelation and heavy-metal communities, but heavy-metal detox claims should not be made casually. Suspected heavy-metal exposure should be handled with professional medical evaluation.
What should I look for on an ALA supplement label?
Look for the exact form, such as standard ALA, R-ALA, or stabilized R-lipoic acid, the amount per serving, and whether the product avoids exaggerated glucose, nerve, fat-loss, or detox claims.
📚 Scientific References & Safety Sources
- Oral ALA for diabetic polyneuropathy: Yang, K., et al. Effects of Oral Alpha-Lipoic Acid Treatment on Diabetic Polyneuropathy: A Meta-Analysis and Systematic Review. Nutrients. 2023. [Systematic Review]
- ALA for diabetic peripheral neuropathy: Han, T., Bai, J., Liu, W., and Hu, Y. A systematic review and meta-analysis of alpha-lipoic acid in the treatment of diabetic peripheral neuropathy. European Journal of Endocrinology. 2012. [PubMed]
- Clinical and pharmacokinetic review, including R vs S discussion: Salehi, B., et al. Insights on the Use of α-Lipoic Acid for Therapeutic Purposes. Biomolecules. 2019. [Review]
- Oral ALA and type 2 diabetes management: Jibril, A. T., Jayedi, A., and Shab-Bidar, S. Efficacy and safety of oral alpha-lipoic acid supplementation for type 2 diabetes management: a systematic review and dose-response meta-analysis of randomized trials. Endocrine Connections. 2022. [Endocrine Connections]
- Glycemic markers meta-analysis: An updated systematic review and dose-response meta-analysis of the effects of α-lipoic acid supplementation on glycemic markers in adults. [Europe PMC]
- ALA mechanisms and safety review: Alpha-Lipoic Acid: Biological Mechanisms and Health Benefits. Published 2024. [PMC Review]
